摘要: 模糊性市场准入政策执行呈现网络化特征,博弈和网络结构是理解政策执行的重要路径。我国公共资源交易领域社会交易平台市场准入政策在执行中基于政府上下级之间、社会交易平台与政府交易平台之间、社会交易平台与监督部门之间的博弈,分别构建了管理主导型、业务主导型、监督主导型政策网络。在管理主导型政策网络中,政府拥有的较强网络权力和行政权力,是推动政策执行的关键力量;在业务主导型政策网络中,政府虽然也具有较强的网络权力和行政权力,但是社会交易平台的服务优势和逐利动机为政企合作提供了条件;在监督主导型政策网络中,监督部门拥有公共资源交易相关法律赋予的监督权威。因此,有效推动模糊性市场准入政策执行的路径与机制有三种:一是在政府的高位推动下构建管理主导型政策网络,同时充分发挥管理机制效应以获得良好的执行效果;二是在政企优势互补的基础上构建业务主导型政策网络,同时充分释放合作机制效能以带动政策执行;三是在强监督的推动下构建监督主导型政策网络,同时充分发挥监督机制效应使政策得到有效执行。
关键词: 模糊性市场准入;政策网络;博弈;社会网络分析;政策执行
中图分类号:F205
文献标识码:A
文章编号:1008-7621(2022)04-0001-08
收稿日期:2022-03-06
基金项目:中央高校基本科研业务费专项资金资助项目“公共资源交易管理基础理论研究——交易价值理论的构建”(201903185)
《北京行政学院学报》2022年第4期
作者简介:
王丛虎,男,中国人民大学公共管理学院教授、博士生导师;侯宝柱,男,中国人民大学公共管理学院博士研究生。
一、公共资源交易市场准入政策的模糊性
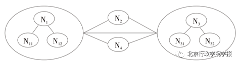
2013年全国人民代表大会审议通过的《国务院机构改革和职能转变方案》提出,“整合工程建设项目招标投标、土地使用权和矿业权出让、国有产权交易、政府采购等平台,建立统一规范的公共资源交易平台”。为此,2015年国办出台《关于印发整合建立统一的公共资源交易平台工作方案的通知》(国办发〔2015〕63号),明确要求“鼓励电子交易系统市场化竞争,各地不得限制和排斥市场主体依法建设运营的电子交易系统与电子交易公共服务系统对接”。这标志着公共资源交易平台尤其是社会电子交易平台①社会电子交易平台是市场化服务的一种组织形式,是社会力量(民营企业)投资建设、运营的公共资源交易平台。(简称“社会交易平台”)进入新的历史发展阶段。在此基础上,2019年国办印发的《国务院办公厅转发国家发展改革委关于深化公共资源交易平台整合共享指导意见的通知》(国办函〔2019〕41号)重申“不得排斥和限制市场主体建设运营的电子交易系统”。换言之,国家主动推动公共资源交易市场化竞争,并积极鼓励民营企业开展公共资源交易活动,将原来仅仅由政府公共资源交易平台②政府公共资源交易平台是由政府投资建设与运营的公共资源交易平台,根据性质,可将其分为行政属性的公共资源交易平台和事业单位属性的公共资源交易平台等。(简称“政府交易平台”)供给的交易服务扩展至社会交易平台。显然,上述社会交易平台市场准入政策具有模糊性。这也预示着该项政策的执行需要借助地方政府的自由裁量权。《中华人民共和国招标投标法》《中华人民共和国政府采购法》,以及2016年由国家发改委、工信部等多部门联合下发的《公共资源交易平台管理暂行办法》等明确规定公共资源交易及其当事人应当接受依法实施的监督。监督在场是公共资源交易的必备条件。因此,社会交易平台市场准入政策执行离不开地方政府和监督等部门的组织、协调和支持,实施中呈现出网络化特征。综上,本文旨在构建一个较为简易的政策网络(见图1),以便认识其结构特征。结合中国公共资源交易发展状况可以判断,社会交易平台与政府交易平台之间存在多种关系,二者可能是竞争关系,也可能是合作关系,还可能既不合作也不竞争。受中央部门的垂直管理,地方政府交易平台对上级政策可能会选择行政性执行或象征性执行,也可能会选择其他方式来落实。无疑,政策执行与博弈不可分割。那么,这些行动者如何通过博弈构建政策网络?政策网络结构如何影响政策执行?如何推动模糊性政策的有效执行?显然,这是一个典型的、与行动者博弈和网络结构同时有关的政策执行问题,也是本研究的重要议题。

图1 政策网络
说明:N1表示社会交易平台,N2表示地方人民政府,N3表示政府交易平台,N4表示监管部门,N11、N31均表示买方(采购人),N12、N32均表示卖方(供应商)。

二、基于博弈和政策网络结构的研究思路
政策网络起源于利益集团(农业、工业和服务业等)和政治行动组织(官僚机构和政党)。卡岑斯坦认为“联盟和政策网络对政策执行而言是重要的”,并认为“国家是所有统治联盟中的一个重要行为者和所有政策网络中的一个关键机构”[1]。瓦尔登认为政策网络是一个松散耦合的组织,以公私合作关系居多,其没有必要存在权威中心,而是更多依赖于横向谈判[2]。这也开启了网络视角的政策执行研究热潮。学者们更多基于政策执行的行为与结构路径,试图从网络博弈路径和网络结构路径揭示政策执行的内在逻辑。政策执行在一定程度上是各行动者之间利益博弈的过程。社会网络视角的博弈是指网络中各节点根据其相邻节点的特征所进行的最优策略的选择[3]。源于数学和经济学的社会网络博弈理论,以其高度复杂性和理性人假设阻碍了政策网络学者对该方法的采纳进程。于是,学界很难出现基于社会网络博弈方法的政策执行研究成果。人们看到更多的是政府内部上下级之间的博弈[4]、基层政府与民众之间的博弈、同级政府部门之间的博弈、民众之间的博弈等[5]。上述研究依赖于两类研究方法:一类是案例研究法,即通过案例揭开各利益相关群体之间的利益冲突并提出政策执行方式。这是一种朴素博弈分析法,区别于经济学较为规范的博弈论方法。另一类是博弈论方法,通过二维矩阵分析利益相关群体之间的效用,从而得出最优政策执行模式。目前有一些学者聚焦于多个网络群体之间的博弈研究,主要是将政策网络研究集大成者罗兹提出的议题网络、生产者网络、府际网络、专业网络和政策社群[6]等应用于具体领域,展开对这些网络群体之间的博弈研究。其核心要点是,不同行动群体的策略选择在一定意义上会影响政策执行模式的选择[7]。这些研究大多数选用案例研究法,深入剖析博弈过程与结果。综上,政策执行的网络博弈路径研究当前还处于初级探索阶段,定性和定量分析层面均有待进一步深入探索。同时,现有研究均以群体为研究单位,尚未以网络为研究单位和将网络特征纳入博弈环节,而网络特征在一定程度上也会影响博弈结果。与政策执行的网络博弈路径相比,政策执行的网络结构路径研究成果较为丰富,其聚焦于网络结构对政策执行的影响。瓦尔登认为政策网络的维度由网络功能、网络结构、制度化、行为规则、权力关系和行动者策略等构成[2]。其中,网络结构体现的是各行动者之间的关系,主要衡量指标有行动者数量、网络边界、行动者类型、连接类型、网络密度、对称性或互惠性、子网络的聚类与分化、协调类型、中心性、行动者被网络控制的程度与决策能力、关系的性质和稳定性等[2]。社会网络结构的测量指标主要由中心性与声望、平衡性与传递性、凝聚子群等构成[3]。由此可见,政策网络结构与社会网络结构之间并不是割裂的,在测量指标方面具有很多相似性。学者们针对网络结构对政策执行的影响进行了大量研究。定量研究方面的代表性成果:国内学者刘海燕和李勇军构建了离散型网络(食品安全监督政策网络)、聚合型网络(房地产调控政策网络)、发散型网络(新医改政策网络)和断裂型网络(控烟政策网络)模式,并通过应用社会网络分析法发现这四种政策网络因行动者特征、网络密度、节点中心性等不同,对政策产出产生不同的影响[8]。质性研究方面的代表性成果:马什和史密斯在对现有理论批判与英国农业政策执行实践考察的基础上,认为网络结构和政策结果之间的关系不是一个简单的、单维度的关系,事实上,它们之间存在三组辩证的互动关系,即网络结构与行动者、网络结构与网络情境、网络结构与政策结果①在政策执行范畴下,这里政策结果的涵义侧重于指政策执行后的产出,也被称为政策产出。之间的互动[9]。综上,定量研究仅从网络结构特征视角探讨了结构与政策执行之间的关系,而质性研究拓宽了定量研究的范畴,从单一关系拓展到了三维关系。一方面,这使得网络结构与政策执行之间的关系变得更为复杂;另一方面,这也拓展了网络结构对政策执行的影响路径,在一定程度上能够增强理论解释力。政策执行整合路径研究的代表性成果:学者丁煌和杨代福在批判吸收政策执行的网络博弈和网络结构路径的基础上,鉴于结构与行为的关联性,构建了“政策执行分析的政策网络途径与博弈途径之整合模型”,并基于罗兹提出的政策类型,结合中国房地产调控案例对上述整合模型进行了分析。该模型认为“政策网络结构与行动者博弈是影响政策执行结果的两大重要因素”,“政策网络结构制约行动者博弈并影响政策执行结果”[10]。显然,该结论对本研究具有一定的启发意义,然而在网络结构方面,它只是陈述了行动者的位置及其所拥有的资源,以及这些资源或权力在一定程度上独立于网络结构的内在特征。实际上,行动者除了拥有外在于网络的权力或资源,还拥有网络结构所赋予的权力或资源。因此,还需结合社会网络方法进一步揭示网络结构所蕴含并赋予行动者位置的权力和资源。此外,该模型的逻辑起点是政策网络结构,一定程度上告诉读者网络结构是客观存在的。这与吉登斯的结构化理论形成了冲突,也引发了本研究对结构与行为之间复杂关系的思考。综上,不难发现,多数学者的关注点是网络结构路径的政策执行研究,对网络博弈路径的政策执行研究更多停留在质性分析阶段。整合网络博弈和网络结构的政策执行研究亦较为鲜见。因此,本文将社会交易平台市场准入政策执行作为研究对象,基于现有的行政、经济、文化和技术环境,试图揭示各行动者通过博弈形塑政策网络的逻辑,以及探讨政策网络结构特征对政策执行的影响机理。基于“结构—行为”悖论,著名社会学家吉登斯提出了经典的结构化理论,论述了社会结构与个人能动性之间的张力问题。他认为结构既是行为的产物也是行为的中介条件,这就是著名的“结构二重性”论断[11]。结构化理论认为“结构”是被反复不断地组织起来的一系列规则或资源,或一系列转换关系。其实,这里的“结构”与本文所构建的网络结构有相似的意涵。但吉登斯并未从社会网络视角来研究结构和行为。而较为成熟的社会网络分析方法可以深层次揭示网络结构特征[12],为进一步探索政策执行提供了工具。在结构二重性和行为能动性的启发下,本文以行动者博弈为逻辑起点,假定博弈能够产生新的政策网络。但并不是认为这些行动者的博弈不受已有松散网络结构以及其他因素的影响。显然,地方政府拥有行政权力和行政资源,且面临上级考核压力;监督者拥有监督权力(利),且面临职责履行压力;社会交易平台拥有先进的技术条件和管理能力,且面临生存与发展危机等。不难发现,上述这些因素均会影响博弈结果,即网络结构特征。因此,本文以网络结构为逻辑中介,以政策执行为逻辑终点,基于博弈分析和社会网络分析方法,试图揭示政策网络结构对政策执行的影响(如图2所示)。

图2 研究思路
说明:实线和实线框系本研究重点关注内容,虚线和虚线框系非重点关注内容。
(五)资料收集与研究方法
本文收集的资料有三类。第一类是社会交易平台准入公共资源交易市场的政策文件,以及相关学术文献和权威媒体报道材料等;第二类是来源于对多家典型社会交易平台调查所得的素材;第三类来源于对多家典型的政府交易平台及监督部门的实地调查形成的资料。研究方法方面,经济学的博弈论以经济人假设为前提,主张个人在给定约束条件下通过博弈追求效用最大化[13]。其实,经济人假设“潜藏着以人的自私自利征服公共领域的危险”[14];公共管理中的人应是对多种利益权衡的“比较利益人”[15]。据此,本文将政府部门人员和政府交易平台从业人员假定为比较利益人,社会交易平台从业人员假定为经济人。博弈规则方面,这里更多体现的是政府上下级之间的管理与被管理、监督部门与社会交易平台之间的监督与被监督以及社会交易平台与政府交易平台之间的合作或竞争等规则。社会网络方法可以通过中心度和声望测度行动者在网络中的重要性[16]。中间中心度可以捕捉到网络中重要行动者的本质特征[17],是衡量网络中领导力的最好指标[18]。声望的测量指标为度声望或相对声望。网络节点的度声望值越大,该节点在网络中处核心位置并拥有较大权力[19]。密度用于测度网络结构属性,可估计网络凝聚力。由于政策不会自动按照其制定者的当初设想去执行,公共政策执行取决于多部门的合作与配套政策的供给。因此,政策网络中的行动者是推动政策执行的重要力量源泉。换言之,网络中处于最重要位置的节点拥有决策权,能够决定网络行为[20]。综上,本研究将应用度数中心度、中间中心度、度声望测量网络中行动者的特征,以及应用网络密度测量网络特征,进而透过结构深层次揭示政策执行的生成逻辑。

三、三条路径的政策执行博弈
从实践看,博弈群体主要有各级政府、发改委、社会交易平台、政府交易平台和监督平台等。社会交易平台市场准入政策的执行涉及监督部门对整个交易过程的监督、地方政府配套政策的支持与政府领导的行政推进,以及社会交易平台与政府交易平台的合作等。这里主要存在政府上下级之间对管理权行使的博弈、监督部门与社会交易平台之间对监督权行使的博弈、社会交易平台与政府交易平台之间竞争或合作的博弈。据此,本文在对中国社会交易平台市场准入政策执行进行广泛调研的基础上,提出以下政策网络模型。在安徽省政府对公共资源交易改革的决策部署下,HS市政府高度重视并推动社会交易平台市场准入政策的执行。省、市两级政府之间的纵向领导关系生成了管理与被管理的博弈格局。一方面,省政府将此项工作作为HS市政府绩效考核的主要内容;另一方面,考核结果是HS市政府领导干部晋升、奖惩和问责的重要依据。省政府与省发改委之间亦存在管理与被管理的博弈关系。首先,省发改委作为省政府的组成部门,对省政府负责,并接受省政府的领导和考核。其次,推动社会交易平台与监督平台联通既是省发改委的一项重要职责,又是社会交易平台市场准入的必备条件。在上级政府的高位推动下,上述两种管理与被管理博弈的优势策略是:有效推动政策执行。因此,在安徽省政府的领导下,省发改委启动了电子监督平台二期工程建设,让更多社会交易平台与监督平台互联,加快了社会交易平台市场准入政策执行的进程。此外,社会交易平台也没有被动等待,而是主动与安徽省发改委、市政府沟通,依托自身技术优势,有效推动了政策执行。社会交易平台系政府招商引资而来,二者并不存在明显的博弈关系。因此,本文构建一个由管理与被管理博弈生成的政策网络,即管理主导型政策网络,如图3所示。

(二)社会交易平台与政府交易平台之间的博弈:广州GY案例广州GY公司是中国最大的公共资源交易服务提供商之一,也是一家典型的社会交易平台。由于模糊性社会交易平台市场准入政策的非刚性执行要求,广州市政府既不阻止也不主动推动GY进入公共资源市场。GY为拓展业务以获取更多的利润,主动与广州市政府交易平台合作。其实,与政府预算的刚性约束相比,社会交易平台企业拥有更多的自主性和灵活性,可以供给高质量和个性化的交易服务。政府交易平台则将此合作看作一项重要的创新实践。因此,此类实践在经济和行政层面均有激励效应。历经多次协商后,GY与广州市政府交易平台合作取得了新的突破。双方博弈达成的共识有:一是GY只与政府交易平台连通,而不与其他社会交易平台联通;二是GY承担的公共资源交易项目需通过政府交易平台来实施;三是社会交易平台与政府交易平台共担技术成本,共享收入。综上,本文构建一个由合作博弈生成的政策网络,即业务主导型政策网络,如图4所示。

监督在场是社会交易平台市场准入政策执行的必经路径。社会交易平台以寻求监督来保障其行为的合法性。作为监督部门,基于社会交易平台的技术优势和先进服务,他们主动开展公共资源交易监督工作,从而推动社会交易平台市场准入政策的有效执行。此外,不排除一些监督人员受到公共资源交易的传统观念影响,而优先选择政府交易平台展开监督,进而放弃对社会交易平台开展的公共资源交易活动的监督。这里的博弈主要聚焦于监督与被监督之间,社会交易平台通过高效且安全的技术优势以及周到的服务赢得监督人员对其的信任和认可,这或许是推动政策执行的突破口。综上,本研究构建一个由监督者与被监督者博弈生成的政策网络,即监督主导型政策网络,如图5所示。

由此,社会交易平台与监督平台或监督部门的连接主要有三条路径,即直接连接(监督主导型)、政府交易平台作为中介(业务主导型)以及各级政府作为中介(管理主导型)。此外还可能存在各级政府与政府交易平台均作为中介的路径,显然,这类路径是上述管理主导型与业务主导型的综合体,其本质上仍然是政府上下级、政府交易平台与社会交易平台之间的博弈。可见,管理主导型、业务主导型、监督主导型政策网络具有一定的代表性。

四、政策网络结构分析
本研究应用社会网络分析软件(UCINET6.672)对上述三种政策网络的度数中心度、中间中心度、度声望以及网络密度进行测算①度数中心度=d(ni)=∑xij,它表示与节点i直接相连的节点数;度声望=dI(ni),它表示节点i收到的节点数;中间中心度=1/∑d(ni,nj),d(ni,nj)表示节点i到j的最短路径;网络密度=L/[g(g-1)],这里计算的是有向网络密度,L表示网络中两两直接连接的线条数,g表示节点数。计算结果如表1所示,这些测度值代表了网络结构特征,也体现了一系列规则和权力。管理主导型政策网络由五个节点和五条线构成。从内向度和度声望可以看出,省政府和省发改委最大,市政府和监督平台次之,社会交易平台最小,数值分别为2(0.5)、2(0.5)、1(0.25)、1(0.25)、0。这表明省政府和省发改委在政策执行中具有较强的权威性且拥有较多的资源。其中,省政府和省发改委起核心领导作用;市政府和监督平台次之;社会交易平台作用最小。由中间中心度知,省发改委最大,市政府次之,分别为2.5(0.41)、0.5(0.08);省政府、社会交易平台和监督平台最小,均为0。这表明省发改委起到了“中间人”作用,市政府次之。正是由于省政府、省发改委、市政府和监督平台在网络中的显著位置,使得有更多的网络资源和更强的网络权威得以呈现,并释放出强大的管理效能,最终有效推动了社会交易平台市场准入政策的执行。业务主导型政策网络由三个节点和两条线构成。从内向度和度声望看,政府交易平台最大,监督平台次之,社会交易平台最小,分别为2(1)、1(0.5)、0。这表明政府交易平台在推动政策执行中具有较强的权威性且拥有较多的资源。其中,政府交易平台起核心作用,监督平台则次之,社会交易平台作用最小。由中间中心度可知,政府交易平台最大,取值为1(1);监督平台和社会交易平台最小,均为0。这也表明政府交易平台在推动政策执行中起到了领导和协调作用。由上观之,正是由于政府交易平台在网络中的显著位置,使其具备更多的网络资源和更强的网络权威,并释放出强大的力量,最终有效推动了社会交易平台市场准入政策的执行。此外,社会交易平台的外向度和内向度分别为1(0.5)和0,表明其能动性为它进入市场提供了条件。监督主导型政策网络仅由两个节点和一条线构成。从内向度和度声望可知,监督部门的取值均为1(1)。显然,监督部门的度声望达到了最大值1。这也是公共资源交易“监督在场”原则的体现。从外向度看,社会交易平台的取值为1(1),表明社会交易平台是被监督者,受到监督部门的“控制”。因此,由监督与被监督构成的网络路径是社会交易平台市场准入政策执行的最短路径。由表1、图3、图4和图5可知,随着网络节点数和连线数的减少,监督平台的内向度和度声望的标准化值呈递增态势。这也表明,根植于网络的监督平台的权力大小与网络节点个数及节点之间的连接数呈负向相关关系。网络密度方面,图5的密度最大,图4的密度次之,图3的密度最小。由此,图5中各节点联系较多,各节点具有较多的资源来源;图3中各节点联系较少,资源渠道也较少。经观察,监督平台的内向度标准化值和度声望标准化值与其相应的网络密度呈正相关关系。也就是说,当监督平台的内向度标准化值为0.25、0.5、1时,其对应的网络密度依次为0.3、0.5、1。当监督平台在网络中的重要性和网络密度呈现双低态势时,政策得以执行的最大推动力来自高层政府(如图3所示)。当监督在网络中的重要性和网络密度呈现双高态势时,政策得以执行的主要推动力来自监督部门(如图5所示)。
表1 政策网络结构特征

注:括号内数值为标准化值,可用于不同网络结构属性之间的比较。

五、社会交易平台市场准入政策执行的政策意涵
模糊性政策给予执行者更多自由裁量权[21]。这些自由裁量权蕴含于博弈和网络权力的行使环节中。社会交易平台市场准入政策的有效执行既与博弈密切相关,也与网络权力密不可分。显然,组织、资源、沟通和监督等因素均会影响博弈结果与网络权力的行使效能。管理主导型政策网络的有效执行高度依赖于行政权力和网络权力。而行政权力和管理权力的行使高度依赖于管理机制。一是构建政策网络组织。网络系统是政策执行的主体。政策执行离不开网络组织保障,也需要合格的人员。政策网络中的权力结构和领导模式等是政策执行的重要保障。HS案例中,基于省政府的高位推动和社会交易平台的积极协作,生成了一个由省政府、省发改委、市政府、监督平台和社会交易平台等构成的网络组织。这也为政策的有效执行奠定了组织基础。二是合理应用资源。资源是政策有效执行的必要条件之一。HS案例中,技术资源、权威性资源、合法性资源、信用资源和社会资本等都会影响政策网络构建和政策执行效果。三是积极沟通与协调。社会交易平台市场准入政策执行涉及利益格局与利益关系的调整。高效的沟通可以化解矛盾、消除误解,从而增进认同和合作。四是严格落实强监督机制。社会交易平台市场准入政策的执行是公共资源交易市场化的新实践,必须在严格的监督下才能确保公共资源的有效配置。这也是公共资源交易相关法律法规得以有效执行的应有之义。业务主导型政策网络执行是典型的公私合作方式。有研究表明,公私合作是针对政府服务低效的矫正方法之一[22]。它建立在政府追求高效服务、企业追逐市场利益的基础上,是基于公私之间多次沟通与谈判建立起的一种合约式行为。其作用的充分发挥依赖于以下几个条件:一是政府应主动与社会交易平台沟通或谈判。显然,此类跨域合作行为建立在优势互补的基础上,不会一蹴而就,需经多次沟通与磋商,甚至数次讨价还价。而有效谈判可以提升政策执行效率。二是要在平等自愿的基础上建立合作协议,通过合同或合约的方式确立公私双方的权利和义务。三是要加强监督。公私合作使政策执行场域由公共部门扩展到民营部门,同样,监督场域亦从公共部门蔓延到民营部门,这是社会交易平台市场准入政策有效执行的重要保障。由此,业务主导型政策网络执行高度依赖于公私合作机制。监督主导型政策网络执行只依赖于监督一个因素或主体。换言之,只要存在有效的监督机制,政策即可执行。监督在场是社会交易平台市场准入政策执行必须坚持的重要原则之一。无论是管理主导型还是业务主导型政策网络,执行均离不开强有力的过程监督和结果监督。

六、结论与讨论
公共资源交易天然具有公共性和市场性。于是,社会交易平台市场准入政策执行具有双重政策机制:一是市场领域的政策机制,二是行政化的政策机制[23]。社会交易平台市场准入政策执行的框架可以概括为“博弈—政策网络—执行机制”(如图6所示)。博弈形塑了政策网络,政策网络赋予各行为主体权力并生成执行机制,从而推动了政策的有效执行。

图6 博弈—政策网络—执行机制
行为主体之间的博弈既是“去组织化”过程,也是政策网络形成的“催化剂”。博弈既是一个政策细化或建构过程,也是一种政策执行行为。更为重要的是,由博弈生成的政策网络会赋予各行为主体新的资源和能力,而这些资源和能力会成为推动社会交易平台市场准入政策有效执行的重要力量源泉。一是政府内部上下级组织之间对管理权行使的博弈形塑了管理主导型政策网络。尤其是在上级政府的高位推动下,这种博弈促使科层组织再组织化,进而生成新政策网络。各行为主体基于其在政策网络中的位置不同,相应的资源和权力呈现出差异性。在安徽HS市案例中,正是由于省政府、省发改委、市政府和监督平台在网络中的显著位置,使得他们拥有更多的网络资源和更强的网络权威,并释放强大的管理效能,最终有效推动了社会平台市场准入政策的执行。于是,充分发挥管理机制效能是社会交易平台市场准入政策执行的重要途径之一。二是政府与企业之间的合作博弈形塑了业务主导型政策网络。这种政策网络更注重政府与市场在优势互补与自愿的基础上达成并执行合作协议。政府更多体现的是领导和协调作用,社会交易平台企业更多体现的是灵活和高质量服务优势。这也是有为政府与有效市场建设的重要内容。因此,充分发挥合作机制效应是社会交易平台市场准入政策执行的重要途径之一。三是监督部门与社会交易平台对监督权行使的博弈形塑了监督主导型政策网络。强监督是社会交易平台市场准入政策执行的基本特征和基本机制。